https://leetcode.cn/problems/binary-tree-level-order-traversal/
给你二叉树的根节点 root ,返回其节点值的 层序遍历 。 (即逐层地,从左到右访问所有节点)。
示例 1:

1
2
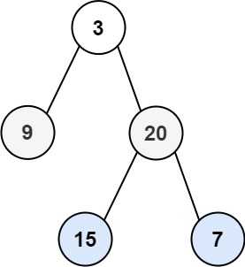
| 输入:root = [3,9,20,null,null,15,7]
输出:[[3],[9,20],[15,7]]
|
示例 2:
1
2
| 输入:root = [1]
输出:[[1]]
|
示例 3:
提示:
- 树中节点数目在范围 [0, 2000] 内
- -1000 <= Node.val <= 1000
代码
1
2
3
4
5
6
7
8
9
10
11
12
13
14
15
16
17
18
19
20
21
22
23
24
25
26
27
28
29
30
31
32
| type TreeNode struct {
Val int
Left *TreeNode
Right *TreeNode
}
func levelOrder(root *TreeNode) [][]int {
var res [][]int
if root == nil {
return res
}
var queue []*TreeNode
queue = append(queue, root)
var idx int
for len(queue) > 0 {
res = append(res, []int{})
var layer []*TreeNode
for j := 0; j < len(queue); j++ {
node := queue[j]
res[idx] = append(res[idx], node.Val)
if node.Left != nil {
layer = append(layer, node.Left)
}
if node.Right != nil {
layer = append(layer, node.Right)
}
}
queue = layer
idx++
}
return res
}
|