https://leetcode.cn/problems/linked-list-cycle/
给你一个链表的头节点 head ,判断链表中是否有环。
如果链表中有某个节点,可以通过连续跟踪 next 指针再次到达,则链表中存在环。 为了表示给定链表中的环,评测系统内部使用整数 pos 来表示链表尾连接到链表中的位置(索引从 0 开始)。注意:pos 不作为参数进行传递 。仅仅是为了标识链表的实际情况。
如果链表中存在环 ,则返回 true 。 否则,返回 false 。
示例 1:

1
2
3
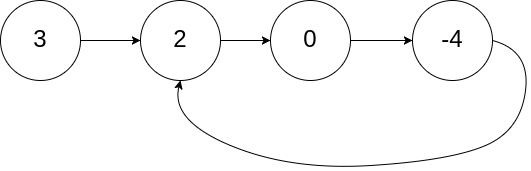
| 输入:head = [3,2,0,-4], pos = 1
输出:true
解释:链表中有一个环,其尾部连接到第二个节点。
|
示例 2:

1
2
3
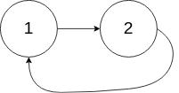
| 输入:head = [1,2], pos = 0
输出:true
解释:链表中有一个环,其尾部连接到第一个节点。
|
示例 3:

1
2
3
| 输入:head = [1], pos = -1
输出:false
解释:链表中没有环。
|
提示:
1
2
3
| 链表中节点的数目范围是 [0, 104]
-105 <= Node.val <= 105
pos 为 -1 或者链表中的一个 有效索引 。
|
进阶:你能用 O(1)(即,常量)内存解决此问题吗?
解题思路
- 遍历链表,把节点存字典,重复就表示有环
- 快慢指针,如果快指针追上慢指针,则证明地球是圆的
代码
1
2
3
4
5
6
7
8
9
10
11
12
13
14
15
16
17
18
19
20
21
| /**
* Definition for singly-linked list.
* type ListNode struct {
* Val int
* Next *ListNode
* }
*/
func hasCycle(head *ListNode) bool {
if head == nil {
return false
}
fast, slow := head.Next, head
for fast != nil && fast.Next != nil {
if fast == slow {
return true
}
fast = fast.Next.Next
slow = slow.Next
}
return false
}
|