https://leetcode.cn/problems/reverse-linked-list
给你单链表的头节点 head ,请你反转链表,并返回反转后的链表。
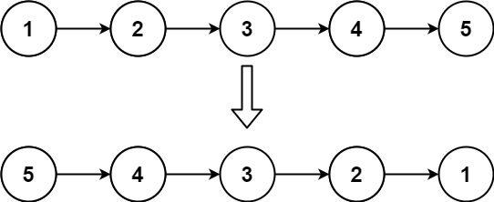
示例 1:

1
2
| 输入:head = [1,2,3,4,5]
输出:[5,4,3,2,1]
|
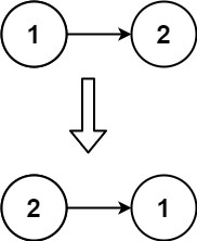
示例 2:

1
2
| 输入:head = [1,2]
输出:[2,1]
|
示例 3:
提示:
链表中节点的数目范围是 [0, 5000]
-5000 <= Node.val <= 5000
进阶:链表可以选用迭代或递归方式完成反转。你能否用两种方法解决这道题?
解题思路
方案一
- 遍历入堆栈,再读一遍
方案二
- 直接调转指向,用临时节点记录中间值

方案三
- 递归回溯
这个方案没想到,利用递归从链表尾回溯到链表头,完成翻转
本着做题的目的,我的coding是方案二。其实实际开发中遇到类似的问题,性能内存不是瓶颈的情况下,我会毫不犹豫地选择方案一。可读性高,而且不容易出错。
代码
1
2
3
4
5
6
7
8
9
10
11
12
13
14
| func reverseList(head *ListNode) *ListNode {
if head == nil || head.Next == nil {
return head
}
var target, mid1, mid2 *ListNode
mid1, mid2 = head, head.Next
for mid2 != nil {
mid2 = mid1.Next
mid1.Next = target
target = mid1
mid1 = mid2
}
return target
}
|