https://leetcode.cn/problems/reverse-nodes-in-k-group/
给你链表的头节点 head ,每 k 个节点一组进行翻转,请你返回修改后的链表。
k 是一个正整数,它的值小于或等于链表的长度。如果节点总数不是 k 的整数倍,那么请将最后剩余的节点保持原有顺序。
你不能只是单纯的改变节点内部的值,而是需要实际进行节点交换。
示例 1:

1
2
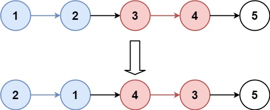
| 输入:head = [1,2,3,4,5], k = 2
输出:[2,1,4,3,5]
|
示例 2:

1
2
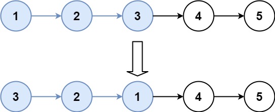
| 输入:head = [1,2,3,4,5], k = 3
输出:[3,2,1,4,5]
|
提示:
链表中的节点数目为 n
1 <= k <= n <= 5000
0 <= Node.val <= 1000
进阶:你可以设计一个只用 O(1) 额外内存空间的算法解决此问题吗?
解题思路
遍历链表,把它分成 len / k + 1 段,对每段进行翻转处理,最后合并
代码
1
2
3
4
5
6
7
8
9
10
11
12
13
14
15
16
17
18
19
20
21
22
23
24
25
26
27
28
29
30
31
32
33
34
35
36
37
38
39
40
41
42
43
44
45
46
47
48
49
50
51
52
53
54
55
56
57
| type ListNode struct {
Val int
Next *ListNode
}
func reverseKGroup(head *ListNode, k int) *ListNode {
var counter int
h := head
var list []*ListNode
// 遍历,每k个分一组
for head != nil {
counter++
if counter == k {
a := head
head = head.Next
a.Next = nil
list = append(list, reverse(h))
h = head
counter = 0
} else {
head = head.Next
}
}
// 不满k
if counter != 0 {
list = append(list, h)
}
// 防止下标越界
if len(list) == 0 {
return nil
}
// 记录头节点
head = list[0]
// 合并各个分组
for i := range list {
if i == len(list)-1 {
break
}
for list[i].Next != nil {
list[i] = list[i].Next
}
list[i].Next = list[i+1]
}
return head
}
func reverse(head *ListNode) *ListNode {
var prev *ListNode
curr := head
for curr != nil {
next := curr.Next
curr.Next = prev
prev = curr
curr = next
}
return prev
}
|
不为几m内存而折腰,下一题!